Итоговое повторение Упр.426 ГДЗ Мордкович Александрова 9 класс (Алгебра)
Решение #1 (Учебник 2019)

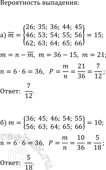
Рассмотрим вариант решения задания из учебника Мордкович, Александрова, Мишустина 9 класс, Мнемозина:
a) Определите вероятность того, что при бросании игрального кубика дважды сумма выпавших очков не будет превосходить число 7.
б) Определите вероятность того, что при бросании двух игральных кубиков сумма очков будет превосходить число 8.
Похожие решебники
Популярные решебники 9 класс Все решебники
*К сожалению, временные проблемы с публикацией комментариев с мобильных устройств.