Итоговое повторение Упр.425 ГДЗ Мордкович Александрова 9 класс (Алгебра)
Решение #1 (Учебник 2019)

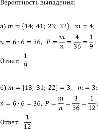
Рассмотрим вариант решения задания из учебника Мордкович, Александрова, Мишустина 9 класс, Мнемозина:
а) Подбрасывают два игральных кубика. Какова вероятность того, что сумма выпавших очков равна 5?
б) Подбрасывают два игральных кубика. Какова вероятность того, что сумма выпавших очков равна 4?
Похожие решебники
Популярные решебники 9 класс Все решебники
*К сожалению, временные проблемы с публикацией комментариев с мобильных устройств.