Итоговое повторение Упр.424 ГДЗ Мордкович Александрова 9 класс (Алгебра)
Решение #1 (Учебник 2019)

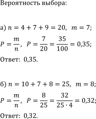
Рассмотрим вариант решения задания из учебника Мордкович, Александрова, Мишустина 9 класс, Мнемозина:
a) На полке стоят 4 банки вишнёвого варенья, 7 банок — клубничного и 9 банок — малинового. Какова вероятность того, что достав не глядя одну из банок, вы возьмёте клубничное варенье?
б) На блюде лежат 10 яблок, 7 нектаринов и 8 персиков. Какова вероятность того, что взяв не глядя один из этих фруктов, вы возьмёте персик?
Похожие решебники
Популярные решебники 9 класс Все решебники
*К сожалению, временные проблемы с публикацией комментариев с мобильных устройств.