Дополнительная задача 14 Глава 5 ГДЗ Мордкович Семенов 7 класс (Алгебра)
Решение #1 (Учебник 2019)

Рассмотрим вариант решения задания из учебника Мордкович, Семенов, Александрова 7 класс, Бином:
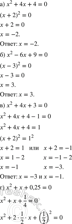
Выделяя полный квадрат, решите уравнение:
а) х^2 + 4х + 4 = 0; г) х^2 + х + 0,25 = 0;
б) х^2 — 6х + 9 = 0; д) х^2 + 4х — 5 = 0;
в) х^2 + 4х + 3 = 0; е) х^2 + 6x + 5 = 0.
Похожие решебники
Популярные решебники 7 класс Все решебники
*К сожалению, временные проблемы с публикацией комментариев с мобильных устройств.