Дополнительная задача 13 Глава 5 ГДЗ Мордкович Семенов 8 класс (Алгебра)
Решение #1 (Учебник 2025)

Рассмотрим вариант решения задания из учебника Мордкович, Семенов, Александрова 8 класс, Просвещение:
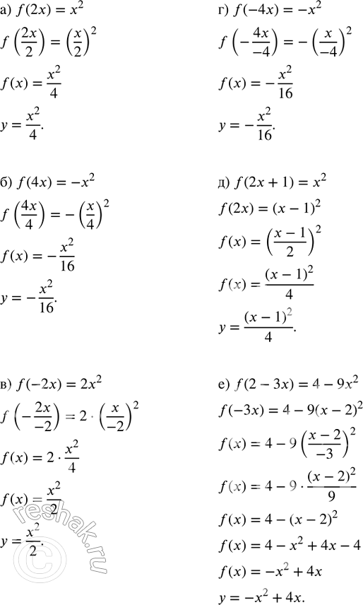
Найдите квадратичную функцию у = f(x), удовлетворяющую заданному соотношению:
а) f(2х) = х^2; г) f(-4x) = -x^2;
б) f(4x) = -х^2; д) f(2x + 1) = x^2;
в) f(-2x) = 2x^2; е) f(2 - 3x) = 4 - 9x^2.
Похожие решебники
Популярные решебники 8 класс Все решебники
*К сожалению, временные проблемы с публикацией комментариев с мобильных устройств.