Дополнительная задача 12 Глава 5 ГДЗ Мордкович Семенов 8 класс (Алгебра)
Решение #1 (Учебник 2025)

Рассмотрим вариант решения задания из учебника Мордкович, Семенов, Александрова 8 класс, Просвещение:
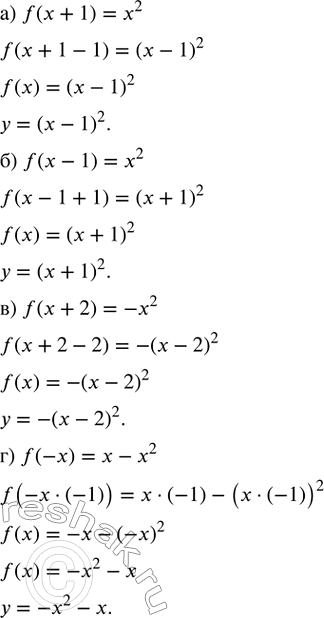
Найдите квадратичную функцию у = f(x), удовлетворяющую заданному соотношению:
а) f(x + 1) = х^2; г) f(-x) = x - x^2;
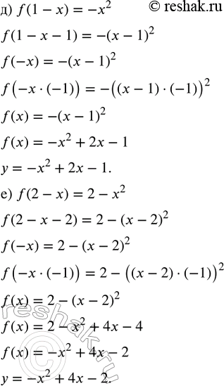
б) f(x - 1) = х^2; д) f(1 - x) = -x^2;
в) f(x + 2) = -х^2; е) f(2 - x) = 2 - x^2.
Похожие решебники
Популярные решебники 8 класс Все решебники
*К сожалению, временные проблемы с публикацией комментариев с мобильных устройств.