Дополнительная задача 10 Глава 5 ГДЗ Мордкович Семенов 7 класс (Алгебра)
Решение #1 (Учебник 2019)

Рассмотрим вариант решения задания из учебника Мордкович, Семенов, Александрова 7 класс, Бином:
Для следующих произведений подберите значение k, при котором коэффициент при x многочлена Р(х) равен 12, если:
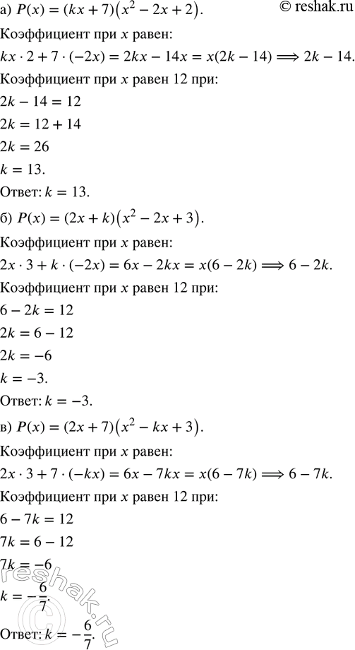
а) Р(х) = (kx + 7)(x^2 - 2x + 2);
б) Р(х) = (2x + k)(x^2 - 2x + 3);
в) Р(x) = (2x + 7)(x^2 - kx + 3);
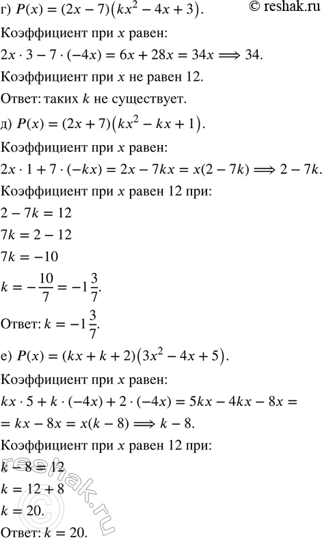
г) Р(х) = (2x - 7)(kx^2 - 4x + 3);
д) Р(x) = (2x + 7)(kx^2 - kx + 1);
е) Р(х) = (kx + k + 2)(3x^2 - 4x + 5).
Похожие решебники
Популярные решебники 7 класс Все решебники
*К сожалению, временные проблемы с публикацией комментариев с мобильных устройств.