🔥ГДЗ под запретом?

Вопрос 3 Параграф 8 ГДЗ Рудзитис 9 класс (2024) (Химия)

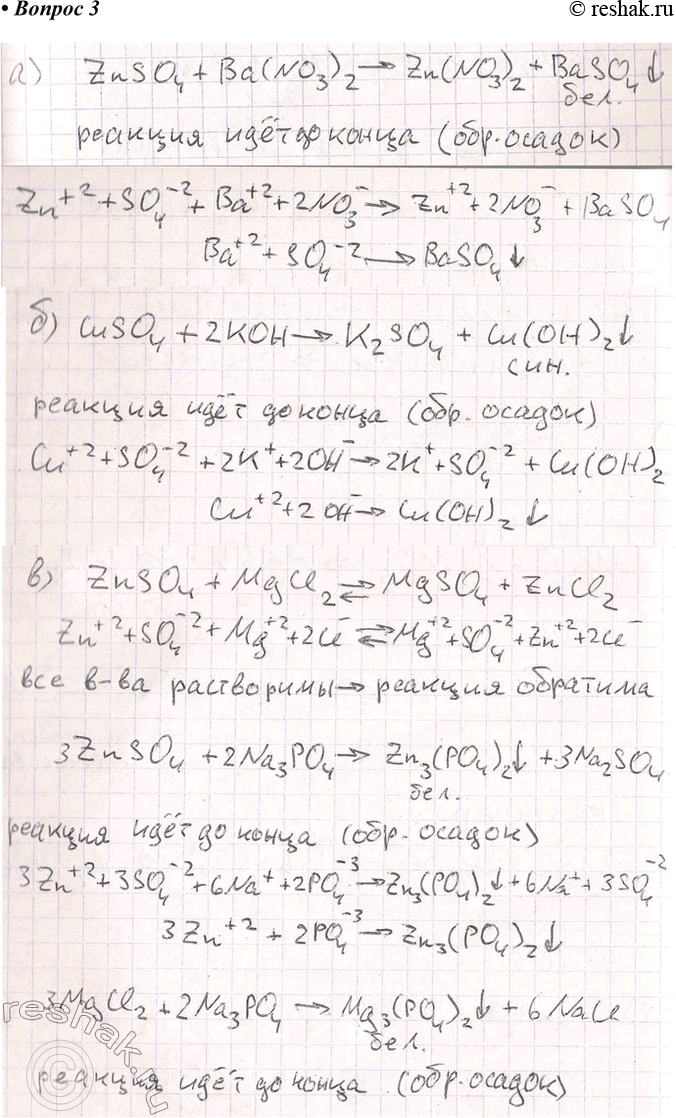
Решение #1

Изображение 3. Даны растворы: а) сульфата цинка и нитрата бария; б) сульфата меди(ІІ) и гидроксида калия; в) сульфата цинка, хлорида магния и фосфата натрия; г) хлорида железа(ІІІ)...
Дополнительное изображение

Рассмотрим вариант решения задания из учебника Рудзитис, Фельдман 9 класс, Просвещение:
3. Даны растворы: а) сульфата цинка и нитрата бария; б) сульфата меди(ІІ) и гидроксида калия; в) сульфата цинка, хлорида магния и фосфата натрия; г) хлорида железа(ІІІ) и сульфата магния. При сливании каких растворов реакции обмена пойдут до конца и почему? Составьте уравнения этих реакций в молекулярном, полном и сокращённом ионном виде.
*Цитирирование задания со ссылкой на учебник производится исключительно в учебных целях для лучшего понимания разбора решения задания.
*К сожалению, временные проблемы с публикацией комментариев с мобильных устройств.