🔥ГДЗ под запретом?

Вопрос 2 Параграф 54 ГДЗ Рудзитис 9 класс (2024) (Химия)

Решение #1

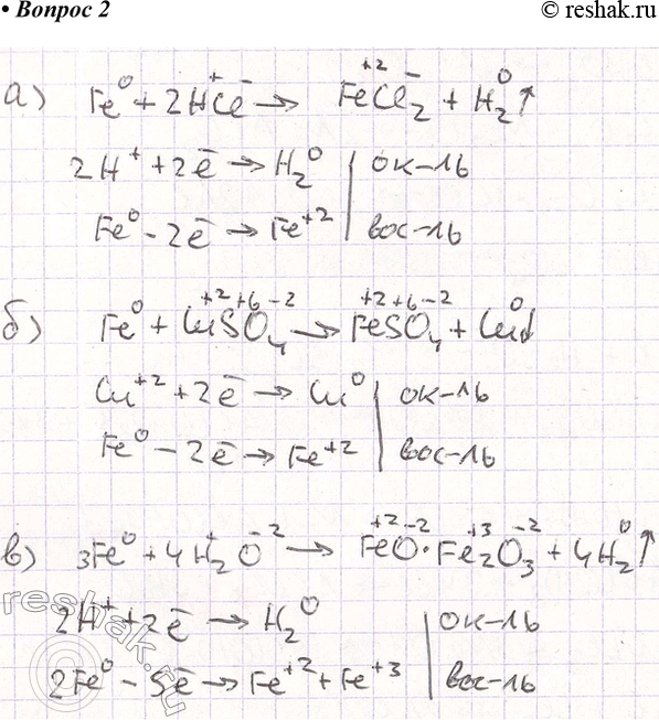
Изображение 2. Составьте уравнения реакций, в которых железо реагирует: а) с кислотами; б) с солями; в) с водой при повышенной температуре. Покажите переход электронов и укажите...

Рассмотрим вариант решения задания из учебника Рудзитис, Фельдман 9 класс, Просвещение:
2. Составьте уравнения реакций, в которых железо реагирует: а) с кислотами; б) с солями; в) с водой при повышенной температуре. Покажите переход электронов и укажите окислитель и восстановитель.
*Цитирирование задания со ссылкой на учебник производится исключительно в учебных целях для лучшего понимания разбора решения задания.
*К сожалению, временные проблемы с публикацией комментариев с мобильных устройств.