Вопрос 4 Параграф 53 ГДЗ Рудзитис 9 класс (2024) (Химия)

Решение #1

Изображение 4. Напишите уравнения химических реакций, соответствующих превращениямАl -> Аl -> АlОтвет 24Al + 3O2 > 2Al2O32Al2O3 + 6CO > 6CO2+4AlЧасто, именно при помощи...

Решение #2

Изображение 4. Напишите уравнения химических реакций, соответствующих превращениямАl -> Аl -> АlОтвет 24Al + 3O2 > 2Al2O32Al2O3 + 6CO > 6CO2+4AlЧасто, именно при помощи...

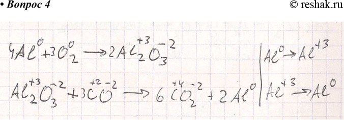
Рассмотрим вариант решения задания из учебника Рудзитис, Фельдман 9 класс, Просвещение:
4. Напишите уравнения химических реакций, соответствующих превращениям
Аl - > Аl - > Аl

Ответ 2
4Al + 3O2 > 2Al2O3
2Al2O3 + 6CO > 6CO2+4Al
Часто, именно при помощи алюминия и вытесняют металлы из оксидов – этот способ получения чистых металлов называется алюмотермией. В данном случае, когда из оксида нужно выделить сам алюминий, можно воспользоваться другим способом получения металлов – восстановлением угарным газом.
*Цитирирование задания со ссылкой на учебник производится исключительно в учебных целях для лучшего понимания разбора решения задания.
*размещая тексты в комментариях ниже, вы автоматически соглашаетесь с пользовательским соглашением