Вопрос 3 Параграф 48 ГДЗ Рудзитис 9 класс (2024) (Химия)

Решение #1

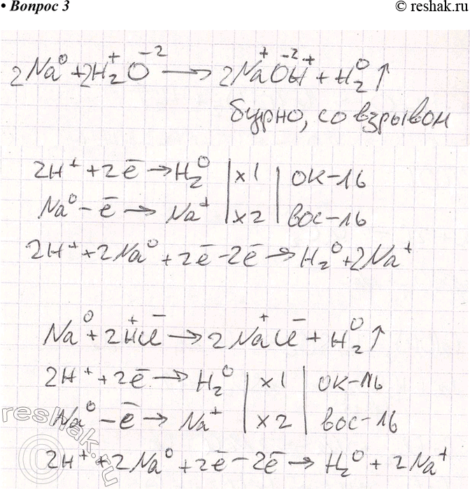
Изображение 3. Сравните реакции щелочных металлов с водой и с кислотами. Составьте уравнения соответствующих реакций. Для расстановки коэффициентов используйте метод электронного...

Рассмотрим вариант решения задания из учебника Рудзитис, Фельдман 9 класс, Просвещение:
3. Сравните реакции щелочных металлов с водой и с кислотами. Составьте уравнения соответствующих реакций. Для расстановки коэффициентов используйте метод электронного баланса.
*Цитирирование задания со ссылкой на учебник производится исключительно в учебных целях для лучшего понимания разбора решения задания.
*размещая тексты в комментариях ниже, вы автоматически соглашаетесь с пользовательским соглашением