🔥ГДЗ под запретом?

Вопрос 2 Параграф 46 ГДЗ Рудзитис 9 класс (2024) (Химия)

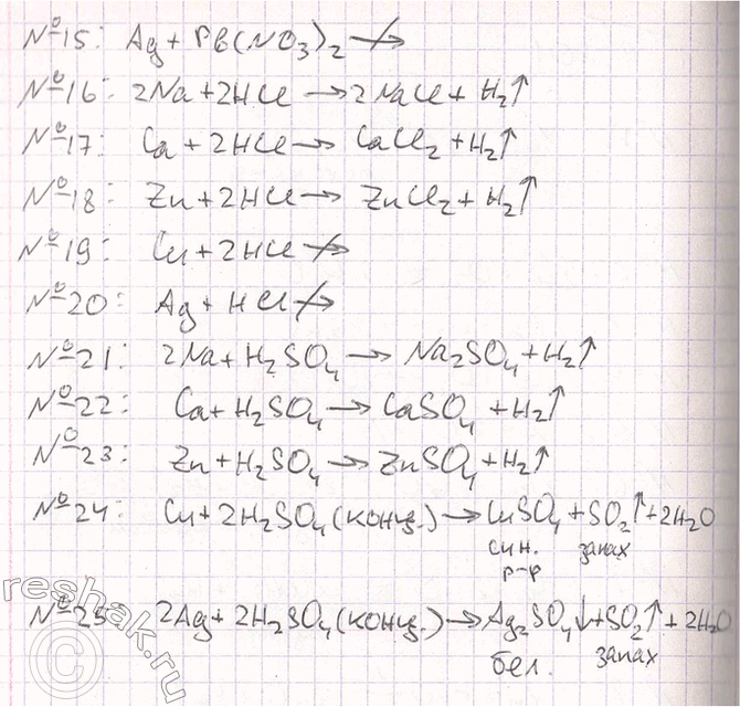
Решение #1

Изображение 2. Начертите в тетради предлагаемую таблицу. В соответствующих графах напишите уравнения практически осуществимых реакций; укажите условия их протекания (см. табл. 32)....
Дополнительное изображение

Рассмотрим вариант решения задания из учебника Рудзитис, Фельдман 9 класс, Просвещение:
2. Начертите в тетради предлагаемую таблицу. В соответствующих графах напишите уравнения практически осуществимых реакций; укажите условия их протекания (см. табл. 32). Результаты работы обсудите с соседом по парте.
*Цитирирование задания со ссылкой на учебник производится исключительно в учебных целях для лучшего понимания разбора решения задания.
*К сожалению, временные проблемы с публикацией комментариев с мобильных устройств.