Вопрос 2 Параграф 45 ГДЗ Рудзитис 9 класс (2024) (Химия)

Решение #1

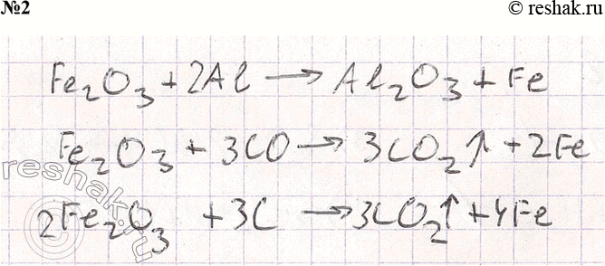
Изображение 2. Предложите три способа получения железа из железной руды Fe2O, с использованием различных восстановителей. Запишите уравнения...

Решение #2

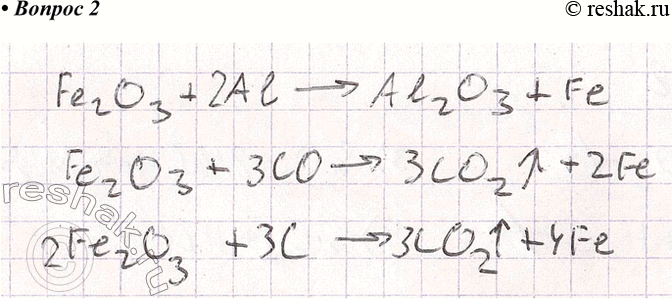
Изображение 2. Предложите три способа получения железа из железной руды Fe2O, с использованием различных восстановителей. Запишите уравнения...

Рассмотрим вариант решения задания из учебника Рудзитис, Фельдман 9 класс, Просвещение:
2. Предложите три способа получения железа из железной руды Fe2O, с использованием различных восстановителей. Запишите уравнения реакций.
*Цитирирование задания со ссылкой на учебник производится исключительно в учебных целях для лучшего понимания разбора решения задания.
*К сожалению, временные проблемы с публикацией комментариев с мобильных устройств.