Вопрос 8 Параграф 37 ГДЗ Рудзитис 9 класс (2024) (Химия)

Решение #1

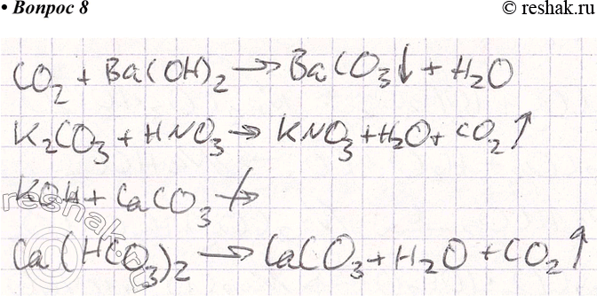
Изображение 8. Допишите уравнения практически осуществимых реакций.а) СО2 + Ва(ОН)2 -> в) КОН + СаСО3 ->б) К2СО3 + HNO3 -> г) Са(НСО3)2 ->Ответ 2CO2 + Ba(OH)2 > BaCO3v +...

Решение #2

Изображение 8. Допишите уравнения практически осуществимых реакций.а) СО2 + Ва(ОН)2 -> в) КОН + СаСО3 ->б) К2СО3 + HNO3 -> г) Са(НСО3)2 ->Ответ 2CO2 + Ba(OH)2 > BaCO3v +...

Рассмотрим вариант решения задания из учебника Рудзитис, Фельдман 9 класс, Просвещение:
8. Допишите уравнения практически осуществимых реакций.
а) СО2 + Ва(ОН)2 - > в) КОН + СаСО3 - >
б) К2СО3 + HNO3 - > г) Са(НСО3)2 - >

Ответ 2
CO2 + Ba(OH)2 > BaCO3v + H2O
K2CO3 + HNO3 > KNO3 + H2O + CO2^
KOH + CaCO3 – реакция не идет
Ca(HCO3)2 > CaCO3+H2O+CO2^
*Цитирирование задания со ссылкой на учебник производится исключительно в учебных целях для лучшего понимания разбора решения задания.
*размещая тексты в комментариях ниже, вы автоматически соглашаетесь с пользовательским соглашением