🔥ГДЗ под запретом?

Вопрос 3 Параграф 29 ГДЗ Рудзитис 9 класс (2024) (Химия)

Решение #1

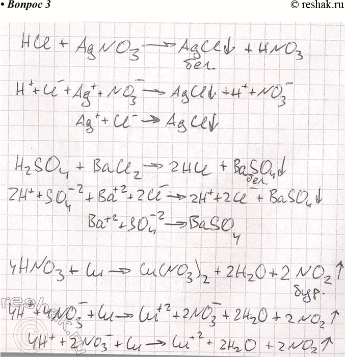
Изображение 3. Напишите молекулярные, полные ионные и сокращённые ионные уравнения реакций, с помощью которых можно различить соляную, серную и азотную...

Рассмотрим вариант решения задания из учебника Рудзитис, Фельдман 9 класс, Просвещение:
3. Напишите молекулярные, полные ионные и сокращённые ионные уравнения реакций, с помощью которых можно различить соляную, серную и азотную кислоты.
*Цитирирование задания со ссылкой на учебник производится исключительно в учебных целях для лучшего понимания разбора решения задания.
*К сожалению, временные проблемы с публикацией комментариев с мобильных устройств.