Вопрос 2 Параграф 23 ГДЗ Рудзитис 9 класс (2024) (Химия)

Решение #1

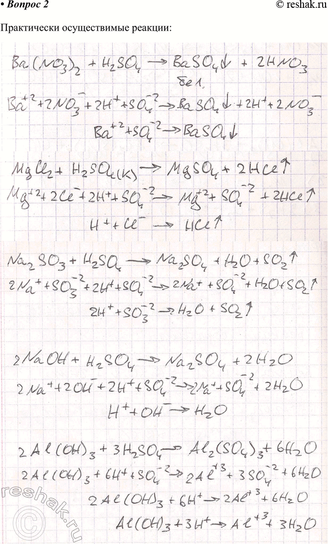
Изображение 2. Составьте уравнения практически осуществимых реакций.Укажите условия осуществления реакций. В тех случаях, где это возможно, составьте полные и сокращённые ионные...
Дополнительное изображение

Рассмотрим вариант решения задания из учебника Рудзитис, Фельдман 9 класс, Просвещение:
2. Составьте уравнения практически осуществимых реакций.
Укажите условия осуществления реакций. В тех случаях, где это возможно, составьте полные и сокращённые ионные уравнения.
*Цитирирование задания со ссылкой на учебник производится исключительно в учебных целях для лучшего понимания разбора решения задания.
*К сожалению, временные проблемы с публикацией комментариев с мобильных устройств.