Вопрос 1 Параграф 23 ГДЗ Рудзитис 9 класс (2024) (Химия)

Решение #1

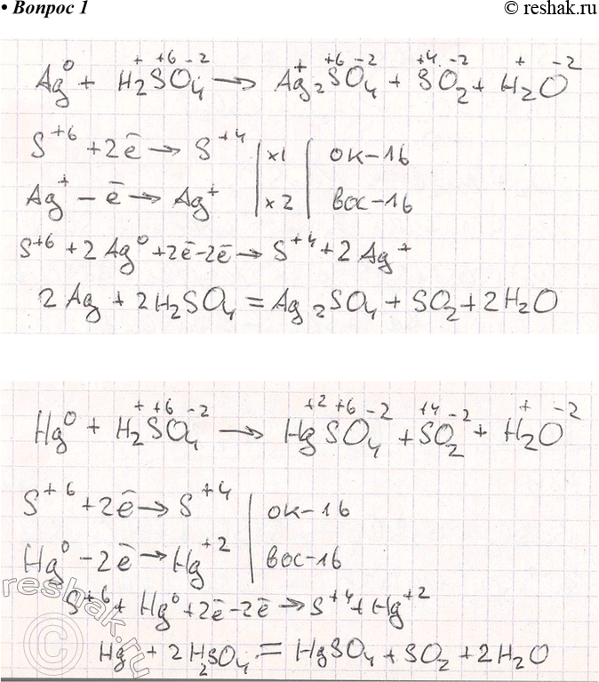
Изображение 1. Концентрированная серная кислота при нагревании реагирует с ртутью и серебром, подобно тому как она реагирует с медью. Составьте уравнения этих реакций и укажите...

Рассмотрим вариант решения задания из учебника Рудзитис, Фельдман 9 класс, Просвещение:
1. Концентрированная серная кислота при нагревании реагирует с ртутью и серебром, подобно тому как она реагирует с медью. Составьте уравнения этих реакций и укажите окислитель и восстановитель.
*Цитирирование задания со ссылкой на учебник производится исключительно в учебных целях для лучшего понимания разбора решения задания.
*размещая тексты в комментариях ниже, вы автоматически соглашаетесь с пользовательским соглашением