Вопрос 2 Параграф 22 ГДЗ Рудзитис 9 класс (2024) (Химия)

Решение #1

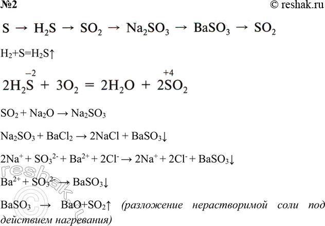
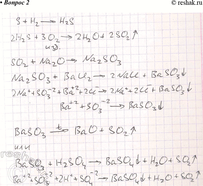
Изображение 2. Напишите уравнения реакций, с помощью которых можно осуществить следующие превращения:S -> H2S -> SO2 —> Na2SO3 —> BaSO3 -> SO2Уравнения реакций ионного обмена...

Решение #2

Изображение 2. Напишите уравнения реакций, с помощью которых можно осуществить следующие превращения:S -> H2S -> SO2 —> Na2SO3 —> BaSO3 -> SO2Уравнения реакций ионного обмена...

Рассмотрим вариант решения задания из учебника Рудзитис, Фельдман 9 класс, Просвещение:
2. Напишите уравнения реакций, с помощью которых можно осуществить следующие превращения:
S - > H2S - > SO2 — > Na2SO3 — > BaSO3 - > SO2
Уравнения реакций ионного обмена напишите в полном и сокращённом ионном виде.

Ответ 2
S - > H2S - > SO2 — > Na2SO3 — > BaSO3 - > SO2
H2+S=H2S^
SO2 + Na2O > Na2SO3
Na2SO3 + BaCl2 > 2NaCl + BaSO3v
2Na+ + SO32- + Ba2+ + 2Cl- > 2Na+ + 2Cl- + BaSO3v
Ba2+ + SO32- > BaSO3v
BaSO3 > BaO+SO2^ (разложение нерастворимой соли под действием нагревания)
*Цитирирование задания со ссылкой на учебник производится исключительно в учебных целях для лучшего понимания разбора решения задания.
*размещая тексты в комментариях ниже, вы автоматически соглашаетесь с пользовательским соглашением