Тест Задание 1 Параграф 20 ГДЗ Рудзитис 9 класс (2024) (Химия)

Решение #1

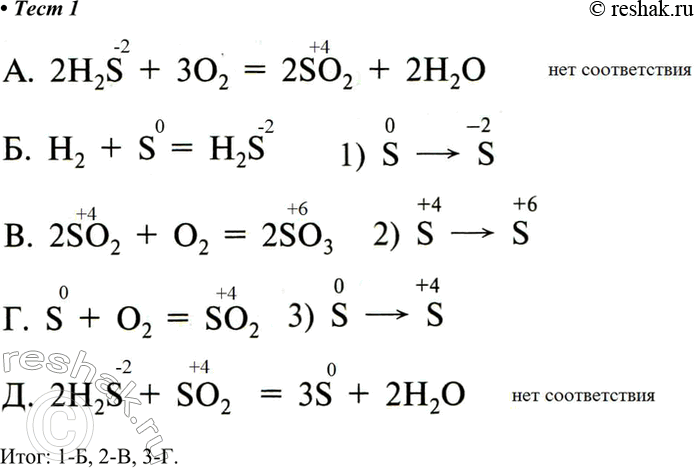
Изображение 1. Установите соответствие между приведённой схемой химической реакции и примером, иллюстрирующим её.Итог: 1-Б, 2-В,...

Рассмотрим вариант решения задания из учебника Рудзитис, Фельдман 9 класс, Просвещение:
1. Установите соответствие между приведённой схемой химической реакции и примером, иллюстрирующим её.
Итог: 1-Б, 2-В, 3-Г.
*Цитирирование задания со ссылкой на учебник производится исключительно в учебных целях для лучшего понимания разбора решения задания.
*К сожалению, временные проблемы с публикацией комментариев с мобильных устройств.