Задание 11 Параграф 1.1 ГДЗ Босова 8 класс 2023 (Информатика)
|
Не совпадает с вашим учебником? Посмотрите устаревший решебник |
Решение #1

Рассмотрим вариант решения задания из учебника Босова, Босова 8 класс, Бином:
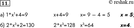
11. Найдите основание х системы счисления, если:
а) 14x = 9 10;
1*х1+4=9 х+4=9 х= 9 – 4 = 5 х = 5;
б) 2002x = 130 10.
2*х3+2=130 2*х3=128 х3=64 х=4.
Похожие решебники
Популярные решебники 8 класс Все решебники
*К сожалению, временные проблемы с публикацией комментариев с мобильных устройств.