Упр.115 Повторение ГДЗ Мордковича 10 класс профильный уровень (Алгебра)
Решение #1
Решение #2(записки учителя)

Рассмотрим вариант решения задания из учебника Мордкович, Семенов 10 класс, Мнемозина:
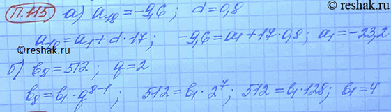
115. а) Найдите первый член арифметической прогрессии (аn), если а18 = -9,6, d = 0,8.
б) Последовательность (bn) — геометрическая прогрессия. Найдите b1 если b8 = 512, q = 2.
Похожие решебники
Популярные решебники 10 класс Все решебники
*К сожалению, временные проблемы с публикацией комментариев с мобильных устройств.