Упр.112 Повторение ГДЗ Мордковича 10 класс профильный уровень (Алгебра)
Решение #1
Решение #2(записки учителя)

Рассмотрим вариант решения задания из учебника Мордкович, Семенов 10 класс, Мнемозина:
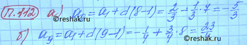
112. а) Последовательность (an) — арифметическая прогрессия.
Найдите а8, если а1 = 2/3, d = -1/3.
б) Последовательность (аn) — арифметическая прогрессия.
Найдите a9, если а1 = -1/4, d = 3/4.
Похожие решебники
Популярные решебники 10 класс Все решебники
*К сожалению, временные проблемы с публикацией комментариев с мобильных устройств.