Упр.99 Задачи повышенной сложности ГДЗ Колмогоров 10-11 класс (Алгебра)
Решение #1

Рассмотрим вариант решения задания из учебника Колмогоров, Абрамов, Дудницын 10 класс, Просвещение:
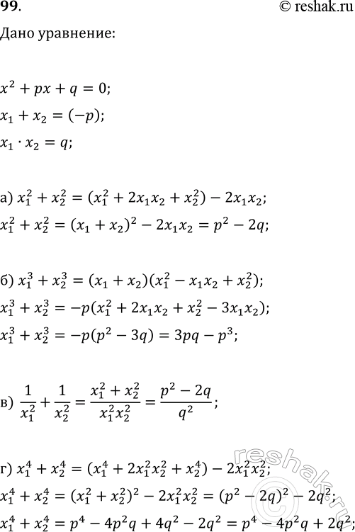
99. Числа x_1 и x_2 — корни уравнения x^2+px+q=0. Выразите через p и q: а) x_1^2+x_2^2; б) x_1^3+x_2^3; в) 1/x_1^2+1/x_2^2; г) x_1^4+x_2^4.
Популярные решебники 10 класс Все решебники
*размещая тексты в комментариях ниже, вы автоматически соглашаетесь с пользовательским соглашением