Упр.98 Задачи повышенной сложности ГДЗ Колмогоров 10-11 класс (Алгебра)
Решение #1

Рассмотрим вариант решения задания из учебника Колмогоров, Абрамов, Дудницын 10 класс, Просвещение:
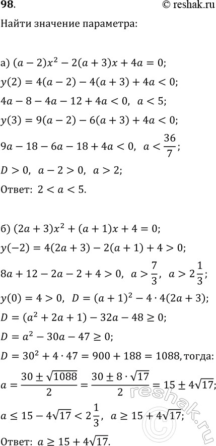
98. а) Для каких значений a один из корней уравнения (a-2)x^2-2(a+3)x+4a=0 больше 3, а другой меньше 2?
б) Найдите все значения a, при которых оба корня уравнения (2a+3)x^2+(a+1)x+4=0 принадлежат отрезку [-2; 0].
Популярные решебники 10 класс Все решебники
*размещая тексты в комментариях ниже, вы автоматически соглашаетесь с пользовательским соглашением