Упр.83 Задачи повышенной сложности ГДЗ Колмогоров 10-11 класс (Алгебра)
Решение #1

Рассмотрим вариант решения задания из учебника Колмогоров, Абрамов, Дудницын 10 класс, Просвещение:
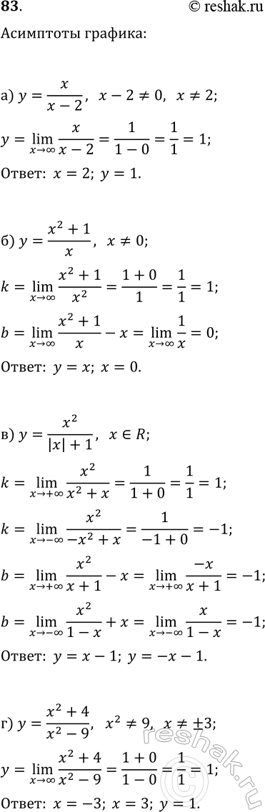
83. Найдите асимптоты графика функции:
а) y=x/(x-2); б) y=(x^2+1)/x;
в) y=x^2/(|x|+1); г) y=(x^2+4)/(x^2-9).
Популярные решебники 10 класс Все решебники
*размещая тексты в комментариях ниже, вы автоматически соглашаетесь с пользовательским соглашением