Упр.63 Задачи повышенной сложности ГДЗ Колмогоров 10-11 класс (Алгебра)
Решение #1

Рассмотрим вариант решения задания из учебника Колмогоров, Абрамов, Дудницын 10 класс, Просвещение:
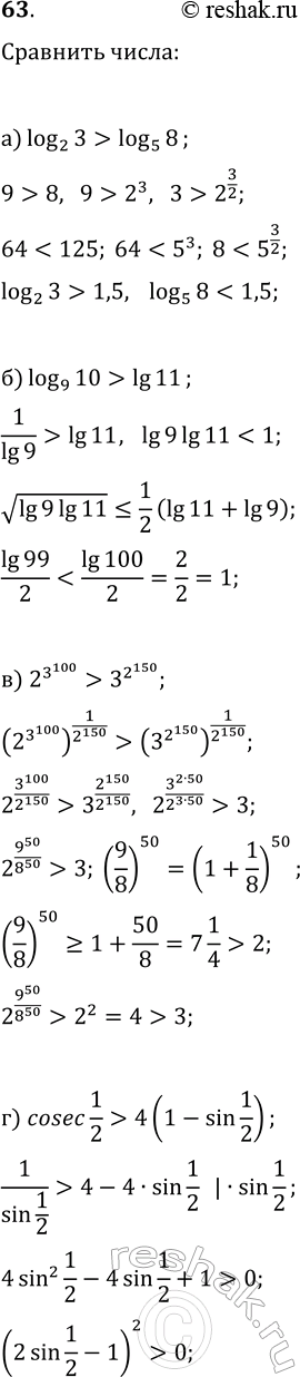
63. Сравните числа:
а) log(2; 3) и log(5; 8); б) log(9; 10) и lg(11);
в) 2^3^100 и 3^2^150; г) cosec(1/2) и 4(1-sin(1/2)).
Популярные решебники 10 класс Все решебники
*размещая тексты в комментариях ниже, вы автоматически соглашаетесь с пользовательским соглашением