Упр.61 Задачи повышенной сложности ГДЗ Колмогоров 10-11 класс (Алгебра)
Решение #1

Рассмотрим вариант решения задания из учебника Колмогоров, Абрамов, Дудницын 10 класс, Просвещение:
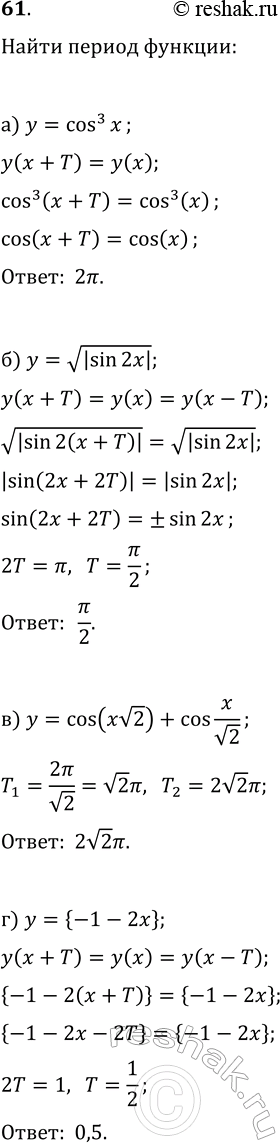
61. Найдите наименьший положительный период функции:
а) y=cos^3(x); б) y=v|sin(2x)|;
в) y=cos(xv2)+cos(x/v2); г) y={-1-2x}.
Популярные решебники 10 класс Все решебники
*размещая тексты в комментариях ниже, вы автоматически соглашаетесь с пользовательским соглашением