Упр.53 Задачи повышенной сложности ГДЗ Колмогоров 10-11 класс (Алгебра)
Решение #1

Рассмотрим вариант решения задания из учебника Колмогоров, Абрамов, Дудницын 10 класс, Просвещение:
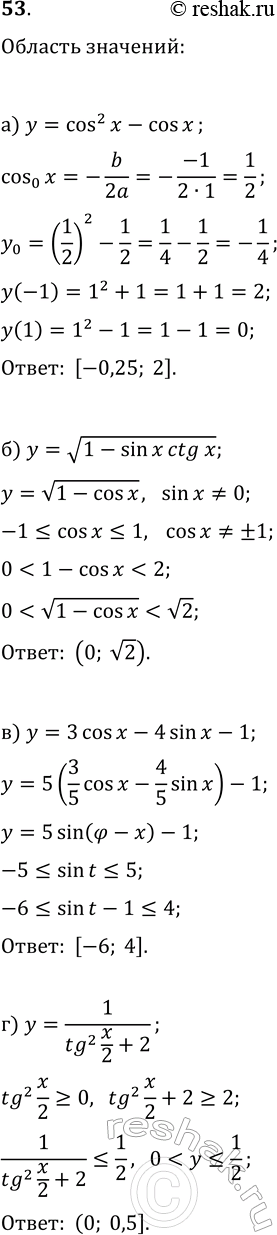
53. Найдите область значений каждой из функций:
а) y=cos^2(x)-cos(x); б) y=v(1-sin(x)ctg(x));
в) y=3cos(x)-4sin(x)-1; г) y=1/(tg^2(x/2)+2).
Популярные решебники 10 класс Все решебники
*размещая тексты в комментариях ниже, вы автоматически соглашаетесь с пользовательским соглашением