Упр.39 Задачи повышенной сложности ГДЗ Колмогоров 10-11 класс (Алгебра)
Решение #1

Рассмотрим вариант решения задания из учебника Колмогоров, Абрамов, Дудницын 10 класс, Просвещение:
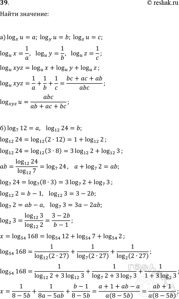
39. а) Найдите log(xyz, u), если log(x; u)=a, log(y; u)=b, log(z; u)=c.
б) Найдите log(54; 168), если log(7; 12)=a, log(12; 24)=b.
Популярные решебники 10 класс Все решебники
*размещая тексты в комментариях ниже, вы автоматически соглашаетесь с пользовательским соглашением