Упр.37 Задачи повышенной сложности ГДЗ Колмогоров 10-11 класс (Алгебра)
Решение #1

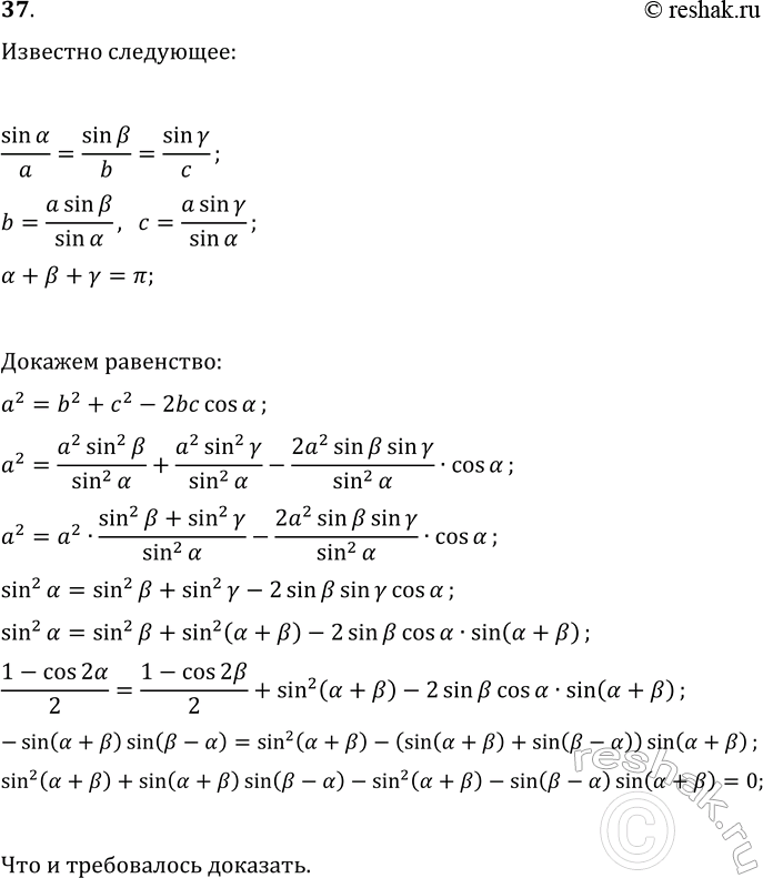
Рассмотрим вариант решения задания из учебника Колмогоров, Абрамов, Дудницын 10 класс, Просвещение:
37. Известно, что ?+?+?=?, sin(?)/a=sin(?)/b=sin(?)/c. Докажите, что a^2=b^2+c^2-2bc cos(?), причем ?, ?, ? необязательно положительные числа.
Популярные решебники 10 класс Все решебники
*размещая тексты в комментариях ниже, вы автоматически соглашаетесь с пользовательским соглашением