Упр.34 Задачи повышенной сложности ГДЗ Колмогоров 10-11 класс (Алгебра)
Решение #1

Рассмотрим вариант решения задания из учебника Колмогоров, Абрамов, Дудницын 10 класс, Просвещение:
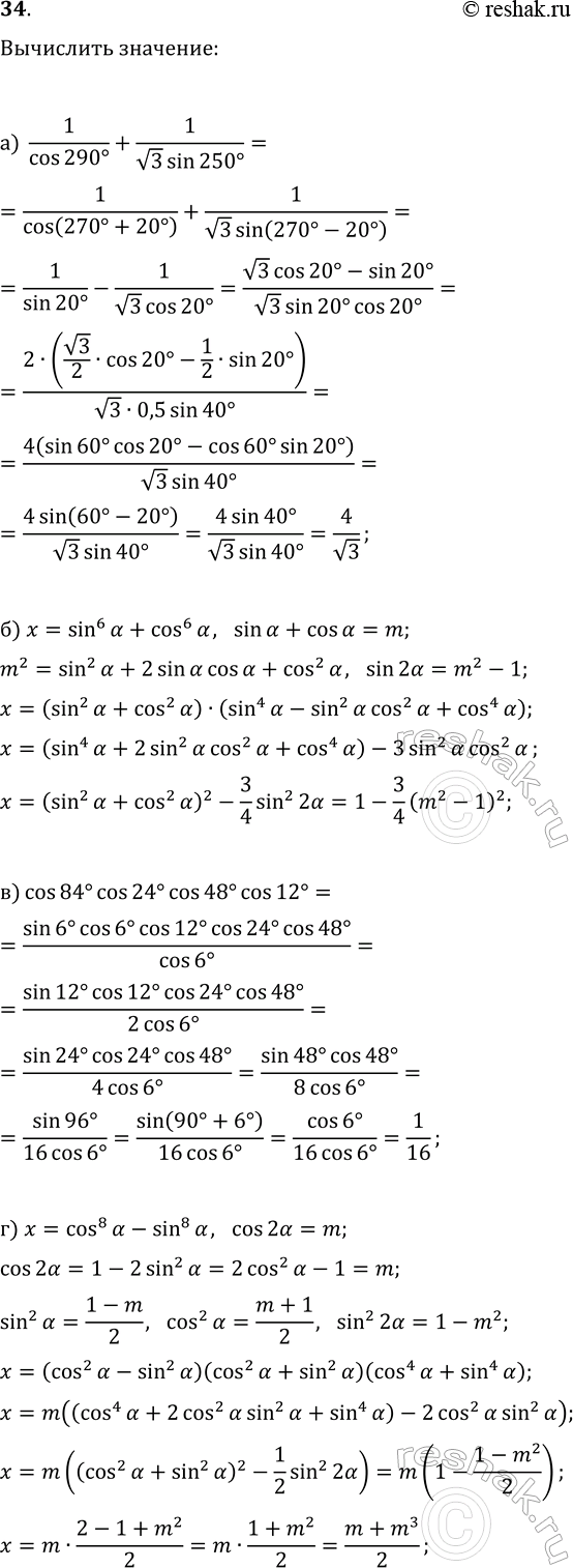
34. Вычислите:
а) 1/cos(290°)+1/(v3sin(250°));
б) sin^6(?)+cos^6(?), если sin(?)+cos(?)=m;
в) cos(84°)cos(24°)cos(48°)cos(12°);
г) cos^8(?)-sin^8(?), если cos(2?)=m.
Популярные решебники 10 класс Все решебники
*размещая тексты в комментариях ниже, вы автоматически соглашаетесь с пользовательским соглашением