Упр.32 Задачи повышенной сложности ГДЗ Колмогоров 10-11 класс (Алгебра)
Решение #1

Рассмотрим вариант решения задания из учебника Колмогоров, Абрамов, Дудницын 10 класс, Просвещение:
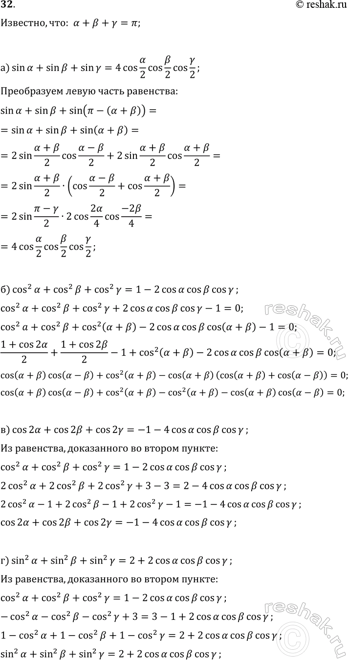
32. Известно, что ?+?+?=?, причем ?, ?, ? положительны. Докажите тождество:
а) sin(?)+sin(?)+sin(?)=4cos(?/2)cos(?/2)cos(?/2);
б) cos^2(?)+cos^2(?)+cos^2(?)=1-2cos(?)cos(?)cos(?);
в) cos(2?)+cos(2?)+cos(2?)=-1-4cos(?)cos(?)cos(?);
г) sin^2(?)+sin^2(?)+sin^2(?)=2+2cos(?)cos(?)cos(?).
Популярные решебники 10 класс Все решебники
*размещая тексты в комментариях ниже, вы автоматически соглашаетесь с пользовательским соглашением