Упр.271 Задачи повышенной сложности ГДЗ Колмогоров 10-11 класс (Алгебра)
Решение #1

Рассмотрим вариант решения задания из учебника Колмогоров, Абрамов, Дудницын 10 класс, Просвещение:
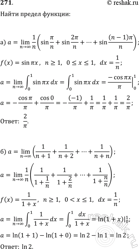
271. С помощью интегралов найдите предел:
а) (n > ?)lim(1/n(sin(?/n)+sin(2?/n)+...+sin(n-1)?/n));
б) (n > ?)lim(1/(n+1)+1/(n+2)+...+1/(n+n));
в) (n > ?)lim((1^p+2^p+...+n^p)/n^(p+1)) при p > 0;
г) (n > ?)lim(n^(p-1)/(n+1)^p+n^(p-1)/(n+2)^p+...+n^(p-1)/(n+n)^p) при p > 1.
Популярные решебники 10 класс Все решебники
*размещая тексты в комментариях ниже, вы автоматически соглашаетесь с пользовательским соглашением