Упр.270 Задачи повышенной сложности ГДЗ Колмогоров 10-11 класс (Алгебра)
Решение #1

Рассмотрим вариант решения задания из учебника Колмогоров, Абрамов, Дудницын 10 класс, Просвещение:
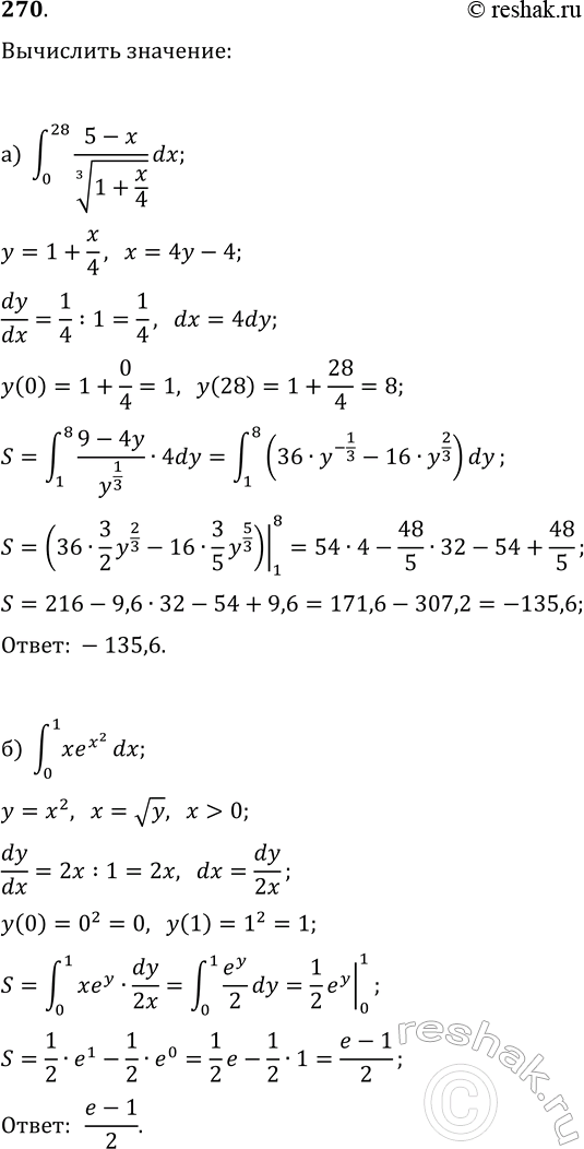
270. Вычислите:
а) (0; 28)?(5-x)/(1+x/4)^(1/3)dx;
б) (0; 1)?xe^x^2 dx;
в) (-2; 0)?x(1-x/2)^(1/3)dx;
г) (-?/2; ?/2)?(cos^2(x)+cos^4(x))dx.
Популярные решебники 10 класс Все решебники
*размещая тексты в комментариях ниже, вы автоматически соглашаетесь с пользовательским соглашением