Упр.269 Задачи повышенной сложности ГДЗ Колмогоров 10-11 класс (Алгебра)
Решение #1

Рассмотрим вариант решения задания из учебника Колмогоров, Абрамов, Дудницын 10 класс, Просвещение:
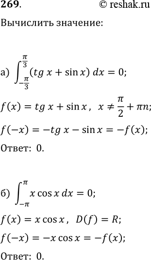
269. Воспользуйтесь результатами задачи 268 и вычислите:
а) (-?/3; ?/3)?(tg(x)+sin(x))ds; б) (-?; ?)?x cos(x)dx.
Популярные решебники 10 класс Все решебники
*размещая тексты в комментариях ниже, вы автоматически соглашаетесь с пользовательским соглашением