Упр.268 Задачи повышенной сложности ГДЗ Колмогоров 10-11 класс (Алгебра)
Решение #1

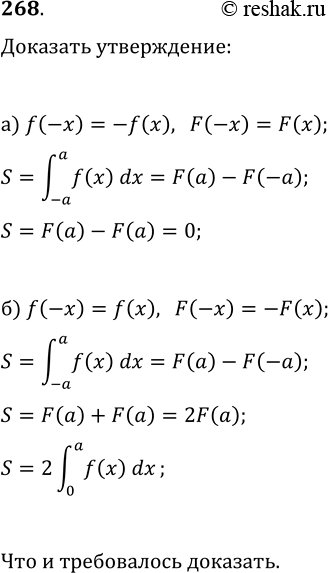
Рассмотрим вариант решения задания из учебника Колмогоров, Абрамов, Дудницын 10 класс, Просвещение:
268. Докажите, что:
а) (-a; a)?f(x)dx=0, если f(x) — нечетная функция;
б) (-a; a)?f(x)dx=2(0; a)?f(x)dx, если f(x) — четная функция.
Популярные решебники 10 класс Все решебники
*размещая тексты в комментариях ниже, вы автоматически соглашаетесь с пользовательским соглашением