Упр.260 Задачи повышенной сложности ГДЗ Колмогоров 10-11 класс (Алгебра)
Решение #1

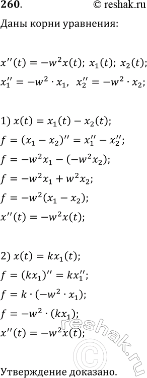
Рассмотрим вариант решения задания из учебника Колмогоров, Абрамов, Дудницын 10 класс, Просвещение:
260. Пусть x_1(t) и x_2(t) — два решения уравнения x''(t)=-?^2x(t). Докажите, что функции x_1(t)-x_2(t) и kx_1(t), где k — произвольное число, также являются решениями этого уравнения.
Популярные решебники 10 класс Все решебники
*размещая тексты в комментариях ниже, вы автоматически соглашаетесь с пользовательским соглашением