Упр.257 Задачи повышенной сложности ГДЗ Колмогоров 10-11 класс (Алгебра)
Решение #1

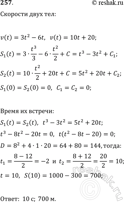
Рассмотрим вариант решения задания из учебника Колмогоров, Абрамов, Дудницын 10 класс, Просвещение:
257. Два тела начали движение по прямой одновременно из одной точки. Скорость первого v(t)=3t^2-6t, второго v(t)=10t+20. В какой момент и на каком расстоянии от начальной точки произойдет их встреча? (Скорость измеряется в метрах в секунду.)
Популярные решебники 10 класс Все решебники
*размещая тексты в комментариях ниже, вы автоматически соглашаетесь с пользовательским соглашением