Упр.253 Задачи повышенной сложности ГДЗ Колмогоров 10-11 класс (Алгебра)
Решение #1

Рассмотрим вариант решения задания из учебника Колмогоров, Абрамов, Дудницын 10 класс, Просвещение:
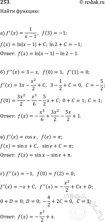
253. Найдите все функции f, такие, что:
а) f'(x)=1/(x-1) и f(3)=-1;
б) f''(x)=3-x, f(0)=1, f'(1)=0;
в) f'(x)=cos(x) и f(e)=?;
г) f''(x)=-1 и f(0)=f(2)=0.
Популярные решебники 10 класс Все решебники
*размещая тексты в комментариях ниже, вы автоматически соглашаетесь с пользовательским соглашением