Упр.252 Задачи повышенной сложности ГДЗ Колмогоров 10-11 класс (Алгебра)
Решение #1

Рассмотрим вариант решения задания из учебника Колмогоров, Абрамов, Дудницын 10 класс, Просвещение:
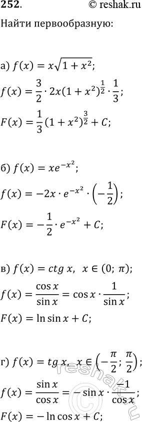
252. Найдите все первообразные для функции f на R:
а) f(x)=xv(1+x^2); б) f(x)=xe^(-x^2);
в) f(x)=ctg(x), x?(0; ?); г) f(x)=tg(x), x?(-?/2; ?/2).
Популярные решебники 10 класс Все решебники
*размещая тексты в комментариях ниже, вы автоматически соглашаетесь с пользовательским соглашением