Упр.25 Задачи повышенной сложности ГДЗ Колмогоров 10-11 класс (Алгебра)
Решение #1

Рассмотрим вариант решения задания из учебника Колмогоров, Абрамов, Дудницын 10 класс, Просвещение:
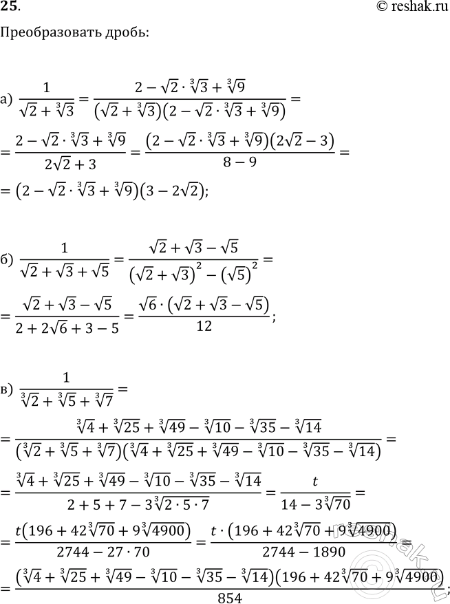
25. Освободитесь от иррациональности в знаменателе:
а) 1/(v2+3^(1/3)); б) 1/(v2+v3+v5); в) 1/(2^(1/3)+5^(1/3)+7^(1/3)).
Популярные решебники 10 класс Все решебники
*размещая тексты в комментариях ниже, вы автоматически соглашаетесь с пользовательским соглашением