Упр.221 Задачи повышенной сложности ГДЗ Колмогоров 10-11 класс (Алгебра)
Решение #1

Рассмотрим вариант решения задания из учебника Колмогоров, Абрамов, Дудницын 10 класс, Просвещение:
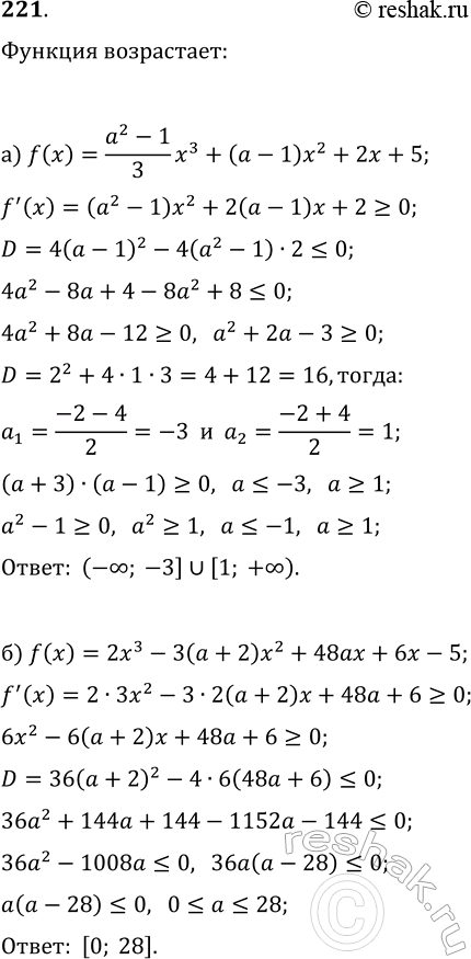
221. Найдите все значения а, при которых функция f возрастает на R:
а) f(x)=(a^2-1)/3x^3+(a-1)x^2+2x+5;
б) f(x)=2x^3-3(a+2)x^2+48ax+6x-5.
Популярные решебники 10 класс Все решебники
*размещая тексты в комментариях ниже, вы автоматически соглашаетесь с пользовательским соглашением