Упр.220 Задачи повышенной сложности ГДЗ Колмогоров 10-11 класс (Алгебра)
Решение #1

Рассмотрим вариант решения задания из учебника Колмогоров, Абрамов, Дудницын 10 класс, Просвещение:
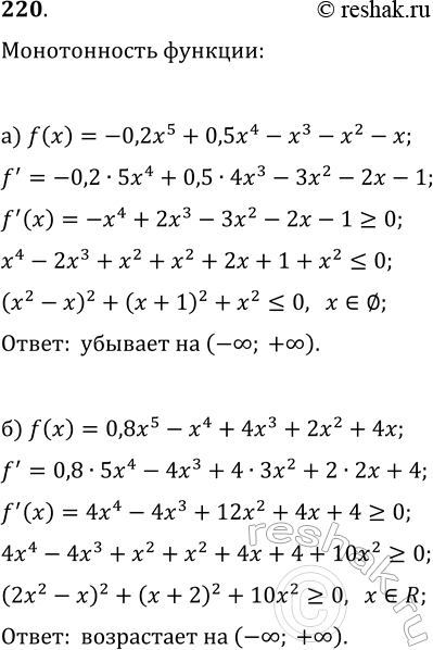
220. Исследуйте функции на возрастание (убывание) и экстремумы:
а) f(x)=-0,2x^5+0,5x^4-x^3-x^2-x;
б) f(x)=0,8x^5-x^4+4x^3+2x^2+4x.
Популярные решебники 10 класс Все решебники
*размещая тексты в комментариях ниже, вы автоматически соглашаетесь с пользовательским соглашением