Упр.218 Задачи повышенной сложности ГДЗ Колмогоров 10-11 класс (Алгебра)
Решение #1

Рассмотрим вариант решения задания из учебника Колмогоров, Абрамов, Дудницын 10 класс, Просвещение:
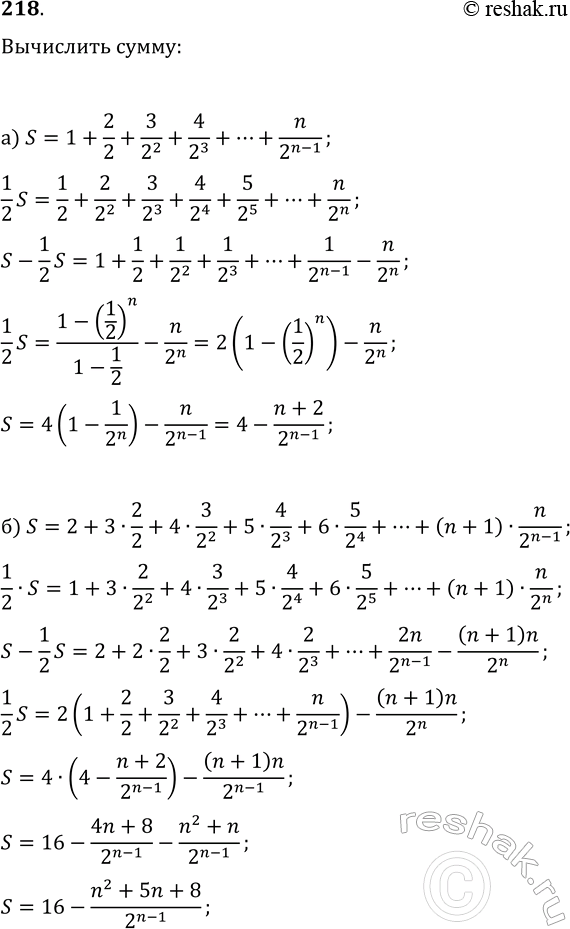
218. Вычислите сумму:
а) 1+2/2+3/2^2+4/2^3+...+n/2^(n-1);
б) 2+3·2/2+4·3/2^2+5·4/2^3+...+(n+1)·n/2^(n-1).
Популярные решебники 10 класс Все решебники
*размещая тексты в комментариях ниже, вы автоматически соглашаетесь с пользовательским соглашением