Упр.212 Задачи повышенной сложности ГДЗ Колмогоров 10-11 класс (Алгебра)
Решение #1

Рассмотрим вариант решения задания из учебника Колмогоров, Абрамов, Дудницын 10 класс, Просвещение:
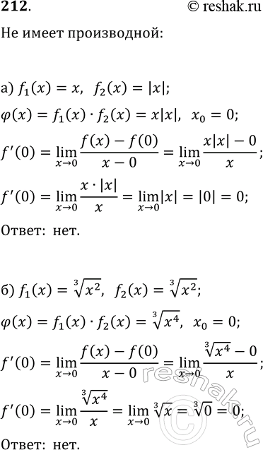
212. Верно ли, что функция ?(x)=f_1(x)·f_2(x) не имеет производной в точке x_0, если:
a) f_1(x) дифференцируема в точке x_0, а f_2(x) нет;
б) обе функции не имеют производной в точке x_0?
Популярные решебники 10 класс Все решебники
*размещая тексты в комментариях ниже, вы автоматически соглашаетесь с пользовательским соглашением