Упр.195 Задачи повышенной сложности ГДЗ Колмогоров 10-11 класс (Алгебра)
Решение #1

Рассмотрим вариант решения задания из учебника Колмогоров, Абрамов, Дудницын 10 класс, Просвещение:
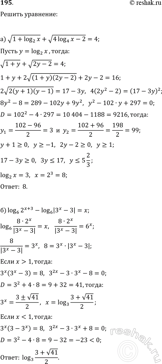
195. Решите уравнения:
а) v(1+log(2; x))+v(4log(4; x)-2)=4;
б) log(6; 2^(x+3))-log(6; |3^x-3|)=x;
в) log(1/3; 3+|sin(x)|)=2^|x|-2;
г) (1+lg(tg(x)))^(1/3)+(1-lg(tg(x)))^(1/3)=2.
Популярные решебники 10 класс Все решебники
*размещая тексты в комментариях ниже, вы автоматически соглашаетесь с пользовательским соглашением