Упр.192 Задачи повышенной сложности ГДЗ Колмогоров 10-11 класс (Алгебра)
Решение #1

Рассмотрим вариант решения задания из учебника Колмогоров, Абрамов, Дудницын 10 класс, Просвещение:
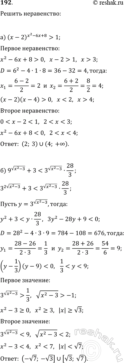
192. Решите неравенства:
а) (x-2)^(x^2-6x+8) > 1;
б) 9^v(x^2-3)+3 < 3^v(x^2-3)·28/3.
Популярные решебники 10 класс Все решебники
*размещая тексты в комментариях ниже, вы автоматически соглашаетесь с пользовательским соглашением