Упр.184 Задачи повышенной сложности ГДЗ Колмогоров 10-11 класс (Алгебра)
Решение #1

Рассмотрим вариант решения задания из учебника Колмогоров, Абрамов, Дудницын 10 класс, Просвещение:
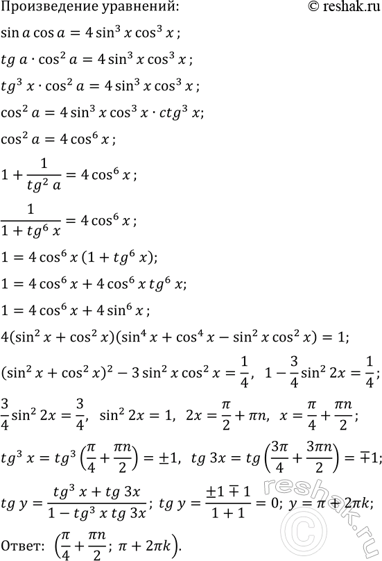
184. Решите системы уравнений:
а) {sin(x)-1/sin(x)=sin(y), cos(x)-1/cos(x)=cos(y)};
б) {sin(y-3x)=2sin^3(x), cos(y-3x)=2cos^3(x)}.
Популярные решебники 10 класс Все решебники
*размещая тексты в комментариях ниже, вы автоматически соглашаетесь с пользовательским соглашением