Упр.158 Задачи повышенной сложности ГДЗ Колмогоров 10-11 класс (Алгебра)
Решение #1

Рассмотрим вариант решения задания из учебника Колмогоров, Абрамов, Дудницын 10 класс, Просвещение:
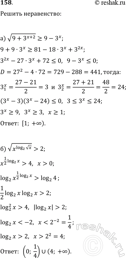
158. Решите неравенства:
а) v(9+3^x-2)?9-3^x; б) vx^log(2; vx) > 2;
в) log(2; v(x+3)-x-1)?0; г) v(4^(x+1)+17)-5 > 2^x.
Популярные решебники 10 класс Все решебники
*размещая тексты в комментариях ниже, вы автоматически соглашаетесь с пользовательским соглашением