Упр.157 Задачи повышенной сложности ГДЗ Колмогоров 10-11 класс (Алгебра)
Решение #1

Рассмотрим вариант решения задания из учебника Колмогоров, Абрамов, Дудницын 10 класс, Просвещение:
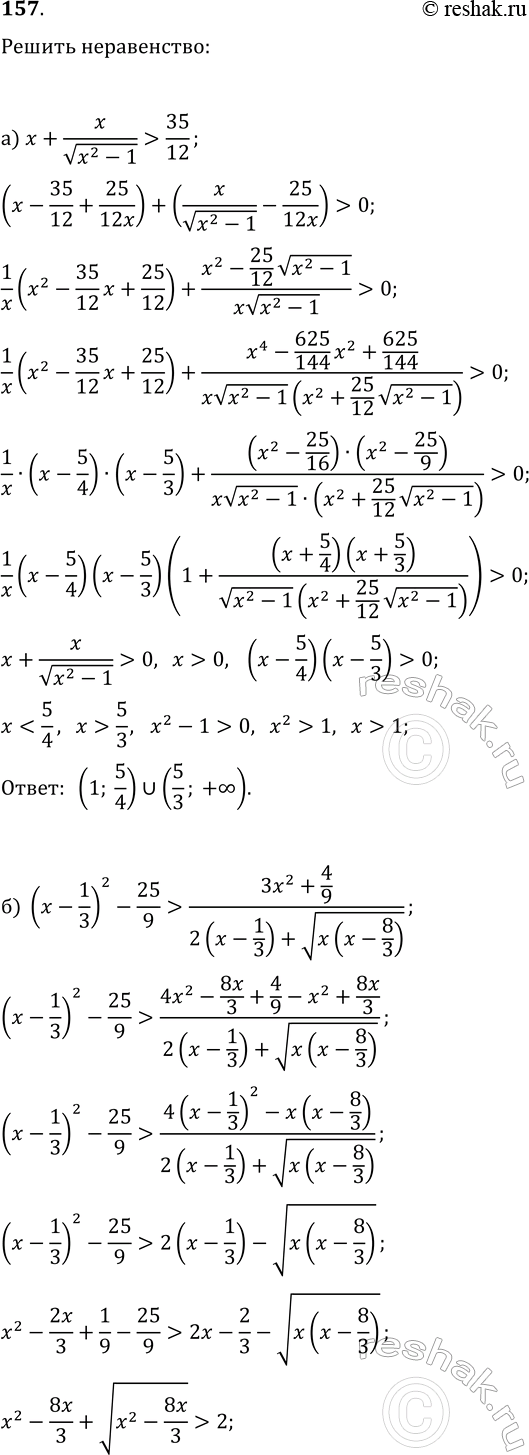
157. Решите неравенства:
а) x+x/v(x^2-1) > 35/12;
б) (x-1/3)^2-25/9 > (3x^2+4/9)/(2(x-1/3)+v(x(x-8/3))).
Популярные решебники 10 класс Все решебники
*размещая тексты в комментариях ниже, вы автоматически соглашаетесь с пользовательским соглашением